Εγνατία Οδός: Tα νέα διόδια σε κάθε σταθμό

Δημοσιεύθηκε το σχετικό ΦΕΚ - Η απόφαση αναμένεται να εφαρμοστεί από σήμερα

- Newsroom

Δημοσιεύθηκε σε ΦΕΚ το πρωί της Παρασκευής η Κοινή Υπουργική Απόφαση για την αναπροσαρμογή διοδίων τελών στην Εγνατία Οδό και στους κάθετους άξονες (α) Α/Κ Σιάτιστας έως το Μεθοριακό Σταθμό Κρυσταλλοπηγής, (β) Α/Κ Λαγκαδά/Σερρών έως το Μεθοριακό Σταθμό Προμαχώνα, (γ) Α/Κ Χαλάστρας έως τον Μεθοριακό Σταθμό Ευζώνων.

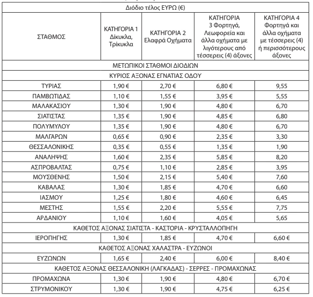
Τα τέλη διοδίων αυξάνονται από τα 0,03 ευρώ ανά χιλιόμετρο στα 0,04 λεπτά και κατά περίπτωση από 28% έως 32%.

Η απόφαση αναμένεται να εφαρμοστεί από σήμερα, αμέσως μόλις γίνουν οι αναγκαίες προσαρμογές στα συστήματα της Εγνατίας Οδού, καθώς από τη σύμβαση παραχώρησης, όπως αναφέρεται και στο σχετικό ΦΕΚ «προ της υπογραφής της σύμβασης παραχώρησης θα αναπροσαρμοστούν τα τέλη διοδίων».

Η τελετή υπογραφής της σύμβασης παραχώρησης της Εγνατίας Οδού, είναι προγραμματισμένη για σήμερα στις 4 το απόγευμα στα γραφεία του ΤΑΙΠΕΔ.

Στο εξής η τιμή για ένα ΙΧ στα διόδια της Τύριας ανεβαίνει στα 2,70€ από 2,10€, στα 1,55€ αυξάνονται τα διόδια στο Δροσοχώρι (από 1.20€) για τα ΙΧ και στα 1,90€ στο Μαλακάσι (από 1,40€).

Τα νέα διόδια της Εγνατίας Οδού, διαμορφώνονται ως εξής:

2-0.webp
diodia.webp

Η σύμβαση προβλέπει πως τα πρώτα χρόνια της παραχώρησης η κοινοπραξία θα προχωρήσει σε μία σειρά από κατασκευαστικά έργα, συμπεριλαμβανομένης και της βαριάς συντήρησης του δρόμου.

Loader
ESPA